De acuerdo con Colombia Compra Eficiente, para el 2016 la contratación pública en Colombia correspondía a un 12.5% del producto interno bruto. Esta cifra ilustra la importancia de lograr que los procesos estatales de contratación de bienes y servicios se desarrollen en contextos competitivos. Por su parte, la Superintendencia de Industria y Comercio en Colombia ha impuesto, entre el 2002 y 2013, multas por colusión en procesos de contratación pública por 23 millones de dólares y su tendencia ha sido creciente (OECD, 2014). El logro de mayores niveles de competencia, lo que a su vez implica la disminución o eliminación de prácticas restrictivas de la competencia como la colusión en las licitaciones públicas, facilitaría la maximización del bienestar social, promovería la eficiencia en la asignación de los recursos escasos y permitiría alcanzar mayores niveles de desarrollo social, económico y cultural.
En línea con el anterior objetivo, el presente trabajo expone algunos indicadores comportamentales que sirven de prueba indiciaria sobre la existencia de carteles empresariales en la contratación pública. Su conocimiento e implementación podría desincentivar el desarrollo de acuerdos anticompetitivos en el marco de procesos concursales y con ello facilitaría el logro de los objetivos relacionados con el desarrollo del país, anteriormente mencionados.
- Indicadores comportamentales para la detección de carteles
Un indicador para la detección de carteles en la contratación es un instrumento estadístico que sirve de indicio acerca de la existencia de una posible colusión en un mercado determinado (Imhof, 2018). La literatura ha clasificado los indicadores en comportamentales y estructurales. Los indicadores comportamentales en el marco de los procesos concursales tienen como objetivo detectar prácticas anormales de los participantes en los mismos. Por su parte, los indicadores estructurales se enfocan en el estudio de las características de los mercados que podrían facilitar o dificultar la aparición de carteles empresariales. Las pruebas comportamentales se pueden dividir, a su vez, en simples o complejas, dependiendo de las exigencias de las metodologías cuantitativas que emplean. Los indicadores complejos tienden a utilizar métodos econométricos, mientras que los simples utilizan metodologías estadísticas (Imhof, 2018).
1.1. Indicadores de varianza
Los indicadores de varianza analizan el comportamiento de la varianza de las ofertas en un proceso concursal en contextos con diferentes niveles de competencia. Este tipo de indicadores se basa en la predicción según la cual se presentará una disminución en la varianza de las ofertas como resultado de la existencia de carteles en procesos concursales.
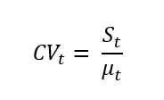
1.1.1.Coeficiente de variación
El coeficiente de variación se define como la razón entre la desviación estándar (S_t)de las ofertas presentadas por los participantes en un proceso concursal sobre la media de estas (μ_t), en un proceso denotado por t (Imhof,2018).

Se esperará que el coeficiente de variación en mercados cartelizados deberá ser inferior al existente en mercados competitivos como resultado de: (i) el aumento en la media de las ofertas y (ii) la caída en la desviación estándar de las ofertas como resultado del aumento de su límite inferior y la conservación del superior, ambos en relación con los resultados esperados en mercados con mayores niveles de competencia (Imhof, 2018).
De acuerdo con la teoría económica, las firmas cartelizadas tenderán a aumentar sus precios para aproximar sus beneficios conjuntos a los correspondientes a un mercado monopólico. En otras palabras, las firmas cartelizadas buscarán que en cada proceso concursal se cumplan dos condiciones: (i) uno de sus miembros resulte adjudicatario y (ii) lograr que la oferta realizada por el adjudicatario se aproxime a la que se hubiere presentado en un mercado monopólico. Como resultado de lo anterior, la desviación estándar de las ofertas tenderá a disminuir puesto que su límite inferior se incrementará sin que lo haga el superior. De acuerdo con la literatura en este campo, el no aumento del límite superior de las ofertas será producto del conocimiento de la entidad contratante sobre los costos y las ofertas máximas, y a la posible sospecha de la entidad contratante acerca de la existencia de carteles en el proceso (Imhof, 2018).
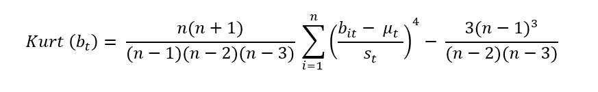
1.1.2. Curtosis
El indicador de curtosis refleja el promedio estandarizado a la cuarta potencia, correspondiente al cuarto momento estandarizado. Los valores (ofertas) que contribuirán a aumentar la curtosis serán aquellos que se encuentren ubicados a más de una desviación estándar de los datos de la muestra (Imhof, 2018).
Donde n denota el número de ofertas en un proceso concursal denotado por t, b_it la oferta i en el proceso t, s_t la desviación estándar las de las ofertas, y μ_t la media de las ofertas en el proceso t.
De acuerdo con la literatura existente, se podría esperar que la curtosis de las ofertas en un proceso concursal donde los participantes se hubieren cartelizado sea superior a su contrafactual en un contexto con mayores niveles de competencia. De acuerdo con esta literatura, en el marco de un cartel, las firmas perdedoras harán una oferta superior a la de la ganadora alrededor de un punto focal. El anterior comportamiento implicará la convergencia de las ofertas, diferentes de la ganadora, alrededor de un punto y la disminución de la varianza, producto de la reducción de su rango (Imhof, 2018).
1.2. Ofertas de cobertura
Las ofertas de cobertura buscan analizar el comportamiento de la diferencia entre la oferta formulada por la firma ganadora del proceso concursal y las demás firmas participantes. De acuerdo con la teoría existente, asumiendo que todas las firmas participantes en el proceso concursal hicieren parte del cartel, las firmas perdedoras se asegurarán de hacer una oferta lo suficientemente alta como para garantizar la asignación del proceso a la firma que ellas hubieren elegido. Esta teoría implicaría que la distancia entre las ofertas perdedoras será inferior que la existente respecto a la firma ganadora (Imhof, 2018).
1.2.1. Diferencia porcentual
El indicador de diferencia porcentual se define como la diferencia porcentual entre la oferta ganadora o primera oferta más baja 〖(b〗_1t) y la segunda más baja (b_2t), en un proceso concursal específico (denotado por la letra t) (Imhof, 2018).

De acuerdo con lo expuesto a manera de generalidad respecto de los indicadores de ofertas de cobertura, es viable pensar que las firmas participantes de un cartel se asegurarán la elección de la ganadora al incrementar la distancia entre la oferta de esta (la ganadora) y las de los demás participantes. Como resultado de lo anterior, la diferencia porcentual deberá ser mayor en periodos de mayor competencia frente a periodos en los que las firmas se comportasen como monopolistas (Imhof, 2018).
Adicionalmente, la diferencia porcentual también podrá estar afectada por los criterios de selección de la propuesta ganadora, definidos por la entidad contratante. Dicho de otra forma, en procesos concursales donde el precio fuere el único criterio de selección, habrá un mayor nivel de certeza respecto de la asignación del proceso con base en las ofertas realizadas por los participantes. Como resultado de lo anterior, la diferencia entre la oferta de la ganadora y las siguientes podrá no ser lo suficientemente grande. Por otro lado, en el caso de procesos concursales en los que la elección de la propuesta ganadora estuviere sujeta a una pluralidad de criterios (por ejemplo: precio, calidad, experiencia, entre otros), las firmas perdedoras del cartel deberán realizar ofertas significativamente mayores a la de la ganadora, con el fin de asegurar el resultado del proceso.
1.2.2. Diferencia relativa
La diferencia relativa se define como la diferencia entre la oferta más baja u oferta ganadora 〖(b〗1t) y la segunda oferta más baja (b_2t), divididas por la desviación estándar de todas las ofertas de las firmas perdedoras S(t,ofertas perdedoras), en el proceso concursal denotado por t (Imhof,2018).

En el contexto de un mercado competitivo, las firmas participantes competirán por realizar la oferta más baja y resultar adjudicatarias del proceso. La competencia entre las participantes podrá facilitar que la diferencia entre la oferta más baja y la segunda más baja sea menor que la desviación estándar del conjunto de ofertas perdedoras. En este primer caso, también es posible asumir que dada una pluralidad de ofertas, se presentará un incremento de la desviación estándar de las ofertas perdedoras, si una o algunas de estas se alejan significativamente del punto focal donde se encontraría la ganadora. A modo de conclusión, es viable esperar que en el caso de mercados competitivos, la diferencia relativa sea cercana a cero (Imhof, 2018).
En cambio, en mercados cartelizados se espera que la diferencia entre la oferta más baja y la segunda oferta más baja sea mayor a la encontrada en un mercado competitivo. Adicionalmente, también es posible que la desviación estándar de las ofertas perdedoras no sea muy alta, si las firmas perdedoras fijan su oferta alrededor de un punto focal, al tiempo que conservan su límite superior. En este caso, una diferencia relativa superior a uno indicará que la distancia entre las primeras dos ofertas es mayor a la distancia promedio de las ofertas perdedoras, lo que será indicativo de colusión.
2. Conclusiones
A manera de conclusión, existe una variedad de indicadores comportamentales para la detección de carteles en la contratación pública que podrían incrementar la capacidad del Estado de detectar este tipo de comportamientos contrarios a la libre competencia. También es posible esperar un desarrollo y uso creciente de este tipo de herramientas como resultado de la mayor disponibilidad de información y de recursos tecnológicos para su implementación.
Bibliografía
Imhof, D. (2018). Empirical Methods for Detecting Bid-rigging Cartels.
OECD. (2014). Combatiendo la Colusión en los Procesos de Contratación Pública en Colombia .
